目录
常见数据结构

线性结构:数组、链表、栈、队列、哈希表
树形结构:二叉树、B树、堆、Trie、哈夫曼树、并查集
图(Graph)
一、介绍
图由顶点(vertex)和边(edge)组成,通常表示为 G = (V, E)
G:表示一个图,V是顶点集,E是边集
V:顶点集V有穷且非空
E:任意两个顶点之间都可以用边来表示它们之间的关系,边集E可以是空的

二、应用举例
图结构的应用极其广泛
社交网络
地图导航
游戏开发
……


图(Graph)的分类
一、有向图、无向图、混合图
1、有向图
有向图的边是有明确方向的

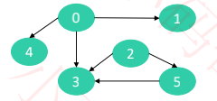
有向无环图(Directed Acyclic Graph,简称 DAG)
如果一个有向图,从任意顶点出发无法经过若干条边回到该顶点,那么它就是一个有向无环图

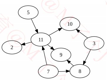
出度、入度适用于有向图

出度(Out-degree):一个顶点的出度为 x,是指有 x 条边以该顶点为起点
顶点11的出度是3
入度(In-degree):一个顶点的入度为 x,是指有 x 条边以该顶点为终点
顶点11的入度是2
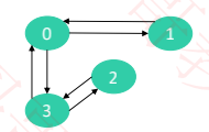
2、无向图
无向图的边是无方向的

效果类似于下面的有向图

3、混合图(Mixed Graph)
混合图的边可能是无向的,也可能是有向的

二、简单图、多重图
1、平行边
在无向图中,关联一对顶点的无向边如果多于1条,则称这些边为平行边
在有向图中,关联一对顶点的有向边如果多于1条,并且它们的的方向相同,则称这些边为平行边
2、简单图、多重图

多重图(Multigraph):有平行边或者有自环的图
简单图(Simple Graph):既没有平行边也不没有自环的图
课程中讨论的基本都是简单图
三、完全图
1、无向完全图(Undirected Complete Graph)
无向完全图的任意两个顶点之间都存在边
n 个顶点的无向完全图有 n(n − 1)/2 条边

2、有向完全图(Directed Complete Graph)
有向完全图的任意两个顶点之间都存在方向相反的两条边 n 个顶点的有向完全图有 n(n − 1) 条边

稠密图(Dense Graph):边数接近于或等于完全图
稀疏图(Sparse Graph):边数远远少于完全图
四、有权图(Weighted Graph)
有权图的边可以拥有权值(Weight)

五、连通图、强连通图
1、连通图(Connected Graph)
如果顶点 x 和 y 之间存在可相互抵达的路径(直接或间接的路径),则称 x 和 y 是连通的
如果无向图 G 中任意2个顶点都是连通的,则称G为连通图

连通分量(Connected Component):无向图的极大连通子图
连通图只有一个连通分量,即其自身;非连通的无向图有多个连通分量
下面的无向图有3个连通分量

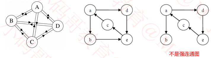
2、强连通图(Strongly Connected Graph)
如果有向图 G 中任意2个顶点都是连通的,则称G为强连通图

强连通分量(Strongly Connected Component)强连通分量:有向图的极大强连通子图
强连通图只有一个强连通分量,即其自身;非强连通的有向图有多个强连通分量

行者常至,为者常成!